×
模态框(Modal)标题
在这里添加一些文本
Close
Close
Submit
Cancel
Confirm
×
模态框(Modal)标题
×
中国科学院数学与系统科学研究院期刊网
ISSN 2097-2326 (Online) ISSN 2096-9732 (Print) CN 10-1738/F
Toggle navigation
CJE
Home
About Journal
Editorial Board
Instruction
Publication Ethics
Download
Contact Us
中文
Figure/Table detail
The Impact of Leverage Trading on Stock Liquidity: Evidence from Margin Trading in Chinese A-Share Market
Rongxi ZHOU, Yukun TAO, Yaojian DENG, Xiao LIU
China Journal of Econometrics
, 2023, 3(
3
): 848-871. DOI:
10.12012/CJoE2022-0082
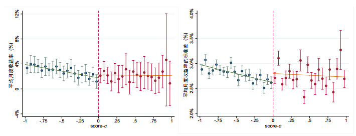
图5
加权评价指标与标的股票占比
Other figure/table from this article
图1
流动性提供者改善市场流动性的路径
图2
日度收益率与净融资买入额
图3
股票日度收益率的核密度估计
图4
2013年至2021年上海证券交易所融资融券标的定期调整情况
表1
上交所融资融券标的调整流程
表2
加权评价指标计算区间和样本范围
表3
主要变量的描述性统计
图6
加权评价指标与Amihud指标
图7
加权评价指标与有效价差
图8
加权评价指标值与其他协变量
表4
断点回归结果
表5
门槛效应检验结果
表6
面板门槛模型估计结果
表7
机构持股比例较高时杠杆交易对流动性的影响
表8
市场大幅波动时杠杆交易对流动性的影响
表9
信息不对称程度较低时杠杆交易对交易成本的影响